9月9日白银价格波浪分析
广告联系站长
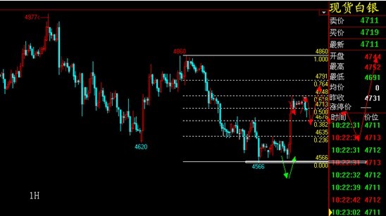
4H说,白银于绿色方框(前期成交密集区)处止跌起,与上周五的红色走法相相似。这里较高概率的变化是上破4977,此预期的确认信号是升破4860。红色圆圈是三神位是多头结构的三道防线。目前市场曾到过4566空间上4H已完成基本回撤。
1H中,绿色箭头标注的是一个值得关注的现象——外盘破过4566是完美的5波下杀结束拉抬,内盘此处是震荡上行。但无论如何4860开始的下杀告一段落,非农的快速反攻目前只走了一波,而且这第一波也有可能没涨完。 可以给市场的建议是,回调不破4566最好在4690、4672、4653这三神位止跌起,上攻突破4752于4860下方做顶回落,之后再重新上攻突破4860……如图中红色箭头标示的复杂细致的变化。
那么因此今天的局暂时是短线的低多,市价(4710附近)、4650多,破4620损,升破4752后见50~80点利润止盈。 |
黄金白银免费指导加大师微信:t8866808

